
临床上,泼尼松和地塞米松都是治疗原发免疫性血小板减少症(ITP)的一线治疗药物。虽然都是激素药物,但很多研究表明,地塞米松和泼尼松的疗效还是有区别的。本期,我们来讲讲泼尼松和地塞米松以及两者的疗效区别。

图源:网络
根据生物效应期,糖皮质激素类药物可分为短效、中效和长效激素,泼尼松属于中效激素,而地塞米松属于长效激素,长效激素不仅是三者中抗炎效力更强、作用时间也更长的激素,也是对下丘脑-垂体-肾上腺皮质轴(HPA)的抑制作用比较强的激素,所以它并不适宜长期使用。相反,中效激素虽然抗炎效力不如长效激素,但副作用和对HPA的抑制作用较小,所以是最常用的一类激素。

图源:《药理学(第九版)》人民卫生出版社
糖皮质激素的疗程可分为冲击治疗、短程、中程、长程以及替代治疗。其应用方式决定于糖皮质激素的生物学效价、疾病的种类、轻重以及病程长短等多种因素。如上述所讲,地塞米松作用更强但HPA抑制作用更大,所以在ITP治疗中,会使用短疗程大剂量地塞米松(HD-DXM)冲击疗法。从2000年以来,不断有临床研究证实此疗法作为成人ITP一线治疗的疗效:起效快,疗效显著且可以迅速停药,如果无效可在短时间内重复应用[1]。对于泼尼松的使用,由于长疗程泼尼松治疗会导致不良反应明显增加,所以会推荐短疗程泼尼松(≤6周)作为新诊断ITP的初始治疗[2]。
那么,短疗程泼尼松疗法和大剂量地塞米松冲击疗法,谁的疗效会更强?在《成人原免疫性血小板减少症中国诊疗指南(2020年版)》以及2019版ASH指南中,均指出大剂量地塞米松治疗7d内反应率明显高于泼尼松[2-3]。我们来看2项比较有代表性的疗效对比相关临床研究。
其中,在我国的一项前瞻性多中心随机临床试验中,比较了大剂量地塞米松和泼尼松作为ITP一线治疗的疗效和安全性。在大剂量地塞米松组中,患者每天口服40 mg地塞米松,连续服用4天,随后停药。治疗后如果患者血小板计数仍然低于30×109/L或者在第10天仍然有出血症状,需要额外给予4天的疗程。泼尼松组中,患者每天口服泼尼松1.0 mg/kg,连续应用4周。如果患者有反应,需要逐渐减量至每天低于15 mg的维持剂量。
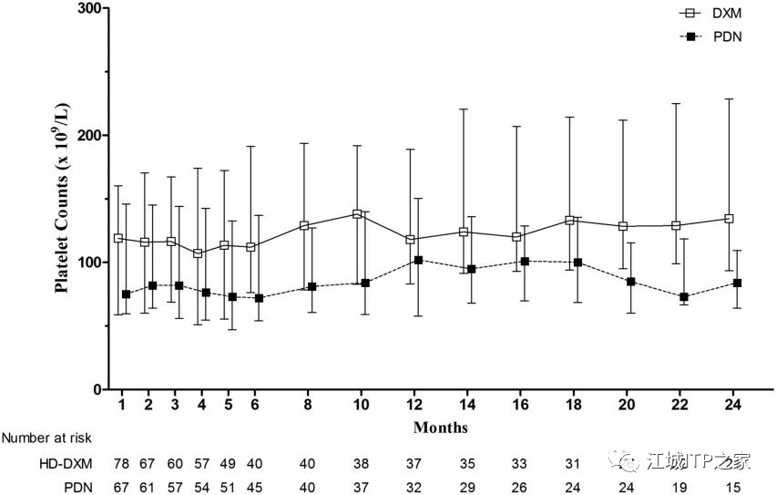
最后的研究结果显示,与泼尼松相比,一或两个疗程的大剂量地塞米松治疗的总体反应率和完全缓解率更高,且接受大剂量地塞米松治疗的患者,发生的出血事件更少。在其后的1~24个月期间,大剂量地塞米松组的患者,中位血小板计数范围是(107~138)×109/L,泼尼松组患者的中位血小板计数范围为(72~102)×109/L。也是根据此研究,我国成人ITP诊疗指南将地塞米松作为初诊成人ITP一线治疗的首选推荐[4]。

图源[4]:随访时初始反应者的中位血小板计数范围
其次是在2013年日本的一项多中心回顾性临床研究中,地塞米松组31例患者应用地塞米松40 mg/d,共应用1~5个疗程;泼尼松组初始剂量是0.6~1.0 mg/(kg·d),2~4周以后逐渐减量。其最终结果显示地塞米松组(31例患者)比泼尼松组的反应率更高(42.7%对28.4%),中位起效时间更早(28d对152d),且在病程6个月时停药比例更高(64.5%对37.7%)[5]。

图源[5]
另外,在我国一项儿童免疫性血小板减少症的糖皮质激素治疗的临床研究中,虽然结果显示儿童ITP大剂量地塞米松治疗[0.6 mg/(kg·d)静脉滴注,共4d]的疗效与传统泼尼松治疗方案[2 mg/(kg·d)口服,14~28d,1~2个月逐渐减量,总疗程不超过3个月]的初始反应和长期缓解情况相似,但却发现地塞米松能在短期内迅速提升血小板计数,且不良反应明显低于泼尼松[6]。
因此,如果需要快速提升患者血小板水平,地塞米松疗法似乎更为合适。但两种激素的远期疗效是否也存在差异,还需要更多研究来证明!
参考文献:
[1]中华医学会内分泌学分会 中国内分泌代谢病专科联盟. 糖皮质激素类药物临床应用指导原则 (2023版)[J]. 中华内分泌代谢杂志 , 2023年4月, 第39卷(第4期):289-296.
[2]Neunert C,et al.American Society of Hematology 2019 guidelines for immune thrombocytopenia[J]. bloodadvances, 10 DECEMBER 2019, 3(23):3829-3866.
[3]中华医学会血液学分会血栓与止血学组. 成人原发免疫性血小板减少症诊断与治疗中国指南(2020年版)[J]. 中华血液学杂志, 2020年8月, 第41卷(第8期):617-623.
[4]Wei Y, Ji XB et al. High-dose dexamethasone vs prednisone for treatment of adult immune thrombocytopenia: a prospective multicenter randomized trial[J]. Blood, 2016,127 (3): 296–302.
[5]Sakamoto K,et al.Prednisone versus high-dose dexamethasone for untreated primary immune thrombocytopenia. a retrospective study of the Japan Hematology & Oncology Clincal Study Group[J]. J Thromb Thrombolysis, 2014,37(3):279-286.
[6]马洁等. 短疗程大剂量地塞米松作为儿童免疫性血小板减少症一线治疗的疗效及安全性评估[J]. 中华实用儿科临床杂志, 2019年11月, 第34卷(第21期):1640-1644.